• <tt id="s00ss"></tt>
    <li id="s00ss"></li>
    <li id="s00ss"></li>
  • <tt id="s00ss"><table id="s00ss"></table></tt>
  • <tt id="s00ss"></tt>
    <tt id="s00ss"><rt id="s00ss"></rt></tt>
  • <tt id="s00ss"><rt id="s00ss"></rt></tt>
    您現在的位置:首頁 / 伴熱專題 / 伴熱專題
    電伴熱保溫在公路隧道水消防系統中的應用
    來源:安邦電氣集團  瀏覽次數:7335  日期:2014年12月06日

     摘要:對電伴熱的設計理念、施工工藝和費用計算等方面進行了闡述,并分別與排空防凍、循環放水、充注防凍液三種保溫方案進行經濟分析和技術比較,最終得出電伴熱保溫系統是現階段公路隧道最為可行實用的消防管道保溫措施。

        關鍵詞:水消防,管道保溫,電伴熱系統

        中圖分類號:U453文獻標識碼:A

        1 問題的提出

        公路等級的提高使得道路隧道的建設規模和技術難度隨之加大。在我國廣大的北方地區,冬季環境溫度常常處在冰點之下,甚至低于-30℃,因此需要對公路隧道內較長時間處于相對靜止狀態的消防管道內的水進行防凍處理,以防止因出現凍堵現象而使消防系統陷于癱瘓。長期以來,冬季北方地區隧道消防管道的保溫防凍是一大難題(見圖1),電伴熱系統較好地解決了這一難題。

     隧道消防管道的保溫

        2 電伴熱保溫

        2.1電伴熱保溫介紹

        電伴熱系統是將電熱帶直接纏繞消防管道來補充熱損失,沿自身長度范圍調節管道系統每一個控制點的水溫,使水溫維持在要求的溫度范圍,從而達到防止管道結冰的目的。管道電伴熱系統由發熱電纜供電電源系統、管道防冰凍電纜加熱系統和管道電2λlnD+α。溫達到上限時,電纜自動停止熱輸出;反之,水溫降到下限時,電纜自動啟動熱輸出。通過伴熱電纜控制箱內的空氣開關與交流電流越限報警隔離變速器,及時切斷與接通電源,以達到加熱防凍目的。電熱帶在消防管道上系統安裝示意圖見圖2。

     消防管道電伴熱帶

        2.2電伴熱保溫計算

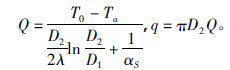
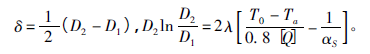
        金屬管道保溫絕熱層厚度δ計算公式:

     

        保溫絕熱層熱量損失Q計算公式:

     

        其中,δ為絕緣層厚度,m;D2為絕緣層外徑,m;D1為管道外徑,m;T0為介質溫度,取10℃;Ta為環境溫度,取極限平均最低溫度(取山西省最冷地區大同的極限平均最低溫度-25.1℃);Q伴熱智能控制報警系統三部分組成。每根伴熱電纜單元包括溫為絕緣層熱量損失,W/m2;q為絕緣層熱量損失,W/m;α為絕緣控器、溫度傳感器、空氣開關、交流越限報警隔離變速器、伴熱電纜斷路監測器、工作狀態顯示器、故障蜂鳴報警器及變壓器等電路,以便觀察、控制與調節電伴熱工作情況。工作狀況下,溫度傳層外表面向周圍環境的放熱系數,W/(m2·℃),取11.63W/(m2·℃)。常用高速公路隧道消防系統高位水池有300m3和500m3兩種規格,消防管網的管徑有DN150和DN200感器安置在被加熱的消防管道上,可隨時測量出其溫度。溫控器兩種。當D1=0.159m(DN150)時,保溫層厚度分別取0.02m,根據事先設定好的溫度,與溫度傳感器測出的溫度比較,當管道水0.04m,0.06m,0.08m下,熱量損失耗電量匯總見表1。

     

     

        當D1=0.219m(DN200)時,保溫層厚度分別取0.02m,0.04m,0.06m,0.08m下,熱量損失耗電量匯總見表2。

     

        電伴熱初期的安裝費大約25萬元,加上后期維修費用和年運行費用,電伴熱所需的投資費用是很高的。

        3 電伴熱和其他保溫方案的比較

        3.1電伴熱與排空防凍的比較

        排空防凍(干式消火栓系統)的主要特點是隧道消防管道內是空置的,管路內無水。如果突然發生火災,隧道火災報警系統接到報警信號,開啟快速排氣閥和電動啟閉閥,將管道內空氣迅速排除,啟動水泵將管道內充滿水,水流從消火栓中流出,管道在短時間內由干式系統迅速轉變為濕式系統,在消火栓口接出水龍帶和水槍達到滅火的目的。針對不同的季節,排空防凍需要進行充放水維護管理。與電伴熱保溫相比,排空防凍具有無需保溫、沒有漏水的優點,但是存在著需要一定的充水時間,使用消火栓的時間滯后于濕式系統,排氣閥有可能堵塞,不能有效排除管道的空氣等缺點。

        干式消火栓需要充水時間計算:

        取管道內流體的最大流速Vmax=2m/s,假如供水點離火災發生點距離為1km,消防用水到達火災發生點所需最短時間: 

     

        3.2電伴熱與循環放水保溫的比較

        循環放水保溫是利用地下水較高的熱容量,通過對管道充入地下水,管道內的水如果降溫接近5℃,然后將之排入滲井,再補充進新的地下水,使水流動循環起來,這種水不停地充入排出保證管道內的水溫在5℃以上,對管道進行保溫的方法即循環放水保溫。如果地下水水溫按照10℃考慮,每米DN150管道的水量為17.671L,每米DN150管道放出的熱量是:Q1=CMΔT= 4.12kJ/(kg·℃)×17.671×10-3m3×1000kg/m3×(10-5)℃=364.023kJ。按保溫層厚度為60mm考慮,每米DN150保溫絕熱層的熱量損失為51.509kJ/h,所需時間分別為

     

        這樣DN150管道每千米每天交換的水量為17.671L×1000m×24h÷7.067h=60.012m3。同理可得每米管道水量為31.416L,放出的熱量是647.170kJ,根據每米保溫絕熱層的熱量損失為66.133kJ/h,計算所需時間為t2=9.786h,DN200管道每千米每天交換的水量為77.047m3。

        用60mm厚的聚氨酯保溫層保溫,每千米DN150的消防管,每天放掉管網60.012m3水;每千米DN200的消防管,每天放掉管網77.047m3水,隧道消防管內的水就不會凍。根據不同地區地下水溫的不同,換水量及充水時間有相應的變化。

        防水保溫方案比電伴熱保溫節省很多電能,但是此保溫方案適用于地下水資源充足、水溫大于10℃的地區,它是打井取水,然后將溫度降下來的水排滲到地下,水資源可以循環利用。

        3.3電伴熱與充注防凍液的比較

        充注防凍液防凍是在消防管網內用防凍液作為循環介質,從而達到防凍的目的。具體過程是用防凍液充滿隧道內消防管網,火災發生防凍液噴出后,隨即噴出蓄水池內的水,防凍液規格和質量不同防凍效果也會有所不同。防凍液與水一樣,具有比熱大、蒸發潛熱量高的優點,該防凍方案免除了絕熱保溫和電伴熱的初投資費及運行費,而且防凍液具有不結垢的特點,能避免系統管道產生大量水垢。選擇的防凍液應具有防凍性、阻燃性和不以上隧道是按1km考慮,在實際工程中也有10多千米的特長隧道,供水時間就得1h以上;并且有可能管路堵塞,必須通過隧道中間聯通管進行供水,供水距離加大,時間會相應的增加。這樣在十分緊急的火災情況下,消防水在短時間之內供不過來,錯過最佳救援時間,火勢也得不到控制,所以當隧道長度超過2km時,不適合使用排空防凍保溫方案。燃性、防銹性、不結垢性、化學性質穩定的特點。亞硝酸鹽不易燃可用于消防系統。每千米DN150管道需填充防凍液的體積為17.7m3,DN200管道需填充防凍液的體積為31.4m3,防凍液費用31.4m3×1.1t/m3×5000元/t=17.27萬元,另外,考慮防凍液膨脹和收縮面須吸納和補充防凍液的裝置費30萬元。選擇防凍液應為長效防凍液,充注防凍液防凍與電伴熱防凍相比總費用差不多,但是在設計噴灑管頭部時,應考慮在消防過程中存在防凍液向消防水的轉換,兩者的密度不同會對噴灑面積有影響。另外,需要解決在升溫時吸納防凍液的膨脹量、降溫時填補防凍液的收縮量,這在技術上有些難度。 

        4結語

        本文對電伴熱、排空防凍、循環放水保溫、充注防凍液等四種嚴寒地區水消防管道保溫方案進行了詳細論述,并在系統構成、保溫效果、滅火效率、工程造價、運營費用、維護難度、適用范圍等方面對各方案的優缺點進行了深入的技術比較,最終得出電伴熱保溫系統是現階段公路隧道最為可行實用的消防管道保溫措施。

       參考文獻:

        [1]熊景芷.嚴寒地區山嶺隧道消火栓系統的設計與研究[J].

        鐵道工程學報,2007(8):18-20.

        [2]郭汝燕.生活熱水自調控電伴熱系統的綜合分析[J].給水

        排水,2002,5(3):82-85.

        [3]GB03S401,管道和設備保溫、防結露及電伴熱[S].

        [4]JTG/TD71-2004,公路隧道交通工程設計規范[S].
     

    國家電伴熱生產基地,國際伴熱帶制造專家;傾力打造國內最大規模電伴熱產業集群

    備案皖公網安備 34118102000521號
  • <tt id="s00ss"></tt>
    <li id="s00ss"></li>
    <li id="s00ss"></li>
  • <tt id="s00ss"><table id="s00ss"></table></tt>
  • <tt id="s00ss"></tt>
    <tt id="s00ss"><rt id="s00ss"></rt></tt>
  • <tt id="s00ss"><rt id="s00ss"></rt></tt>
    亚洲精品第一 灌阳县| 石阡县| 辰溪县| 广昌县| 垫江县| 长垣县| 海淀区| 司法| 仙桃市| 冕宁县| 车险| 霍州市| 泰兴市| 安康市| 邛崃市| 伊金霍洛旗| 雷州市| 南部县| 陆河县| 繁昌县| 长治市| 乌苏市| 秭归县| 保靖县| 聊城市| 南京市| 江达县| 林口县| 项城市| 仙居县| 清苑县| 依安县| 邓州市| 黄骅市| 资源县| 新龙县| 安宁市| 卓资县| 罗城| 龙南县| 临沧市| http://444 http://444 http://444